健康|大美黑龙江-大美黑龙江 jrs电脑直播_极速体育无插件直播_jrs直播极速体育

健康

当前位置: 首页 > 健康

“强心-利尿-扩血管”这口号是怎么来的,又是怎么没的?

发布日期:2018-06-19

  我们中国的临床医学教育颇为有趣,就学制而言,有三年制、五年制、七年制、八年制、九年制、5+3年制、5+5年制、5+3+3年制。就生源而言,中医既可以招收文科生也可以招收理科生,而西医仅招收理科生。也许后者是认为药物配比中许多东西需要数理化的知识,但他们忘记了其实医学更多的是背诵和传承。理科生背诵的能力或许略低于逻辑思维,但在医学院校内却不得不硬着头皮去记。我们自拟的一些口诀对于增强印象颇有帮助,如甲亢的症状,我们归结为“眼突颈肥脾气粗,好吃懒做不长肉”,而外伤性血气胸处理原则为“输血输液抗休克,镇静镇痛抗感染”,当然也有一些口诀称得上是“故老相传”,如心衰治疗的经典口号“强心-利尿-扩血管”,几乎每一个上过内科学都耳熟能详。但实际上,我们去翻阅教科书、工具书、临床指南,却很难找到这一句朗朗上口的口号。

  那么问题来了,“强心-利尿-扩血管”这口号是怎么来的,又是怎么没的?

 

  心衰曾被比喻成希腊神话中的九头蛇,称作“医学九头蛇”(medical hydra),我国的《山海经》《楚辞》《西游记》中也有九头鸟、九头虫的怪物,不管哪一部书里,九个头的都不是好东西。在这一点上,希腊神话和我们是有共识的,所以“医学九头蛇”绝非是美称。1999年美国NIH Lenfant C对心力衰竭所作的广义定义也掺杂了些许人文情怀:“心脏永远是在生命、爱和文化的真正中心,当心脏衰竭了,这是最大的灾难。”自从世间有了人类,心衰便如影随形,但在漫长的历史长河中,无数人死于该疾病。我们将心衰命名为绝症似乎一点也不为过,因为时至今日,它们依然是心血管疾病最后的战场。

 

  九头虫与大圣斗智斗勇

  前不久我曾经撰文“洋妞是西方的妞,洋地黄是西方的地黄吗”八卦了强心药洋地黄的发展史。自230年前的1785年始,英国William Withering证明了洋地黄的强心作用。此后,在较长的一段时间内,洋地黄一直是心衰患者治疗的依靠。然而,患者仍然有较重的水肿,所以医学九头蛇(medical hydra)中“hydra”也是富含水分的意思。直到20世纪50年代,开始有了强力利尿剂和血管扩张剂,心衰的血液动力学症状亦有了显着的改善。因此“强心-利尿-扩血管”成为了传统的常规治疗,统治了从20世纪50至80年代长长的40年。

  在这一阶段,一直是针对心衰的血液动力学异常进行治疗:早年应用洋地黄增强心肌收缩、减慢房颤患者的心室率;而强力口服利尿剂的应用又大大改善了心衰患者的水肿状态。在60年代末开发了血管扩张剂,降低心脏前、后负荷,阻断心衰的正反馈机制,减轻肺淤血和增加心输出量。因而血管扩张剂可以说是针对血液动力学异常治疗方面的一个较大的进展,有良好的短期效应。

  在此基础上,人们似乎看到了心衰治疗的大方向,于是大踏步的研究接踵而来。1970年代末医药学家发明了兼有外周血管扩张作用的正性松弛药(inodilator),代表药物是β受体激动剂和磷酸二酯酶抑制剂。这类新型正性肌力药当初曾被寄予极大的期望,然而令人失望的是,大量随机、对照、双盲临床试验的结果却表明正性肌力药和单纯的血管扩张剂虽可产生短期的血液动力学效应,但长期治疗却增加死亡率和病残率。因为血液动力学仅仅是产生临床症状的基础,与心衰进展和长期预后、死亡率无关。例如应用磷酸二酯酶抑制剂米力农的PROMISE试验死亡率增加28%,和应用β受体激动剂ibopamine的PRIME Ⅱ试验和将二硝酸异山梨醇并肼屈嗪与依那普利进行对比的V-HeFTⅡ试验,均宣告失败。某些药物还导致心律失常和猝死增加。其中,地高辛是唯一的不增加心衰死亡率的正性变力性药(1997年DIG试验),甚至有研究显示如撤除地高辛,心衰病情会恶化(RADIANCE试验和PROVED试验,1993年)。

 

  米力农比对照剂增加心衰死亡率28%

 

  V-HeFTⅡ试验结果

  在这期间,有3篇评论值得关注:第一篇是1988年5月发表在JACC上的“Vasodilator and inotropic drugs for the treatment of chronic heart failure: distinguishing hype from hope”,本文以“希望与骗局”两个词汇,细致反思了β受体激动剂和磷酸二酯酶抑制剂的在心衰治疗中的地位。如果大家有兴趣,大家可以去下载原文或在微信公众号留下邮箱,我将会把本文发送与各位江湖同道。与我们想象中有板有眼的科研论文不同,这篇述评就像现在的新书出版都要专门做一个腰封印刷推荐语一样,开篇就印刷着诗人Samuel Taylor Coleridge的名言:He is the best physician who is inspirer of hope。今时今日,我们回头去看,作者Milton Packer已经在某种意义上成为了心衰治疗二次革命的预言家和见证者。

 

  Packer发表的述评“希望与骗局”,时年孔较瘦2岁

  时隔五年之后,同一作者再次在JACC上撰了题为“The development of positive inotropic agents for chronic heart failure: how have we gone astray”的述评,详细分析了我们是怎样被正性肌力药的带入歧途的。这篇文章与2001年Katz在“Heart failure in 2001: a prophecy revisited”一文中所描述的遥相呼应:即:正性肌力药使心肌细胞中cAMP浓度升高,可导致死亡率增加,cAMP就像是“丧钟”。他们均在自己的文章中预言:“21世纪,负性肌力药必将替代正性肌力药来治疗心衰”。而这一预言已得以实现,早在20余年前就已逐渐淡出医学文献的口号“强心-利尿-扩血管”,如今却仍然在口口相传,与此对应的是作用肾素血管紧张素醛固酮系统(RAAS)和交感神经抑制剂,虽然口号叫的逐渐响亮起来,但在心衰治疗的实践中,却应用率很低,以改善症状为主的错误观点,仍占据大片江山。当然循证医学虽然否定了“强心-利尿-扩血管”在改善预后中的地位,但作为缓解症状的方案,他们仍有一席之地,毕竟长期的生存与短期的快感,都是人活着时不可或缺的。

 

  93年的述评文章印刷质量不咋地,内容却很前卫

 

  Katz于2001年发表的心衰述评

  实际上,回顾新任江湖大佬RAAS及交感神经阻断剂的应用及研究史,同样使人热血沸腾。

  不同于以往应用正性变力性药和血管扩张剂治疗心衰的试验,1987年应用血管紧张素转换酶抑制剂(ACEI)治疗心竭的临床试验CONSENSUS成功降低心衰患者总死亡率27%。以后的SOLVED、V-HeFT试验,对比更加以夯实了这一结论。20世纪90年代中、后期,3个大型、经典的β受体阻滞剂治疗心衰的试验:CIBIS Ⅱ、MERIT-HF、COPERNICUS,进一步使心衰死亡率降低34%~35%。1999年以后,醛固酮受体拮抗剂(MRA)的RALES试验(1999年)、EMPHASIS-HF(2011年)又成功地降低了死亡率。因而,心衰的治疗理念有了重大突破的里程碑式的进展。

 

  β受体阻断剂与心衰的三个经典实验

 

  螺内酯改善心衰预后的RALES试验(NEJM,1999)

  现在我们站在巨人的肩膀上,已然冲破重重迷雾,看清了水钠潴留仅仅是症状,心肌重构才是心衰发生、发展的基本机制。神经内分泌抑制剂,旨在有力地改变衰竭心肌的生物学性质,进一步延缓、逆转心肌重构。β受体阻滞剂急性治疗的负性变力作用截然不同于长期治疗的生物学效应就是一典范。心肌重构的特征就是:(1)伴有胚胎基因再表达的病理性心肌细胞肥大,导致心肌细胞收缩力降低,寿命缩短。(2)心肌细胞凋亡。心肌细胞是终末分化的细胞,原本不应出现细胞凋亡;而美国Narula和Olivetti于1996年首次证明人体终末期衰竭心脏有心肌细胞凋亡;后者是使心衰从“代偿”向"失代偿"转折的关键因素。(3)心肌细胞外基质过度纤维化或降解增加。在这一阶段,有多个名家名言肯定了"心衰生物学治疗"这一划时代的进展:

  • Eichhorn和Bristow指出:内科治疗可改善慢性衰竭心脏的生物学性质——心力衰竭治疗的新纪元。
  • Braunwald在心衰50年的经典文献中指出,慢性心肌衰竭是一不可逆的、终末期过程的观点已被新的概念所取代:即慢性衰竭心脏的功能和结构的内源性缺陷,可以有真正的生物学基础的改善。
  • Bristow则总结道,在过去10年中,心衰的内科治疗有了显着的转变:治疗措施已从短期、血液动力学/药理学的模式转为更长期的修复性的策略,目的是有力地改变衰竭心脏的生物学性质。

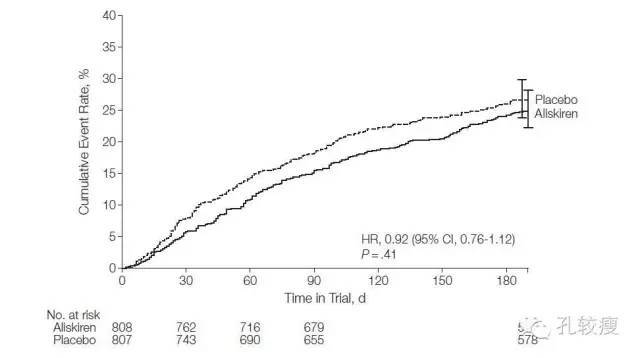
  但事情的发展绝非一帆风顺,虽然RAAS及交感神经阻断剂在心衰治疗的地位屡屡爬升,但神经内分泌抑制剂治疗心衰的临床试验却屡告失败,如OVERTURE试验(试验药物为ACEI+中性内肽酶抑制剂)、ENABLE1/ENABLE2、EARTH试验(试验药物为非选择性和选择性内皮素受体拮抗剂)、RENAISSANCE、RECOVER、RENEWAL试验(试验药物为TNF-α拮抗剂)以及ATTACH试验(治疗组对死亡率和病残率的不良作用而提前终止)。加压素受体拮抗剂仅能改善低钠血症。美国心衰指南仅推荐将将加压素受体拮抗剂短期应用于心衰伴高容量及严重低钠血症者。肾素直接抑制剂阿利吉仑的临床试验(ASTRONAUT)显示慢性失代偿性心衰患者使用后心血管死亡率及心衰住院率并无改善,且增加高钾血症、低血压、肾功能衰竭发生风险。唯一令人可喜的是2014年PARADIGM HF取得了成功。它是应用ARB和neprilysin抑制剂的复合制剂——LCZ696,对照组药物为依那普利。该研究结果显示,一级终点和心血管死亡率均降低20%,心衰住院率降低21%。总死亡率降低16%。众多神经内分泌抑制的临床试验屡告失败,曾一度引发质疑:神经内分泌抑制已达峰顶?有无限度?但随着PARADIGM HF的发表,有评论家认为心衰的药物治疗10来年一直维持不变,LCZ696可能是第一个突破性的药物。但我们需要知道的是,药物治疗虽可延缓、逆转心肌重构;却不能使心肌细胞再生。因而,在ACEI+β受体阻滞剂的基础上再加用神经内分泌拮抗,使死亡率降低的幅度越来越小。而心肌细胞丧失是心力衰竭真正的基本原因。因而,要进一步改善预后,只能寄希望于早期的器械治疗+晚期的干细胞治疗。

 

  阿利吉仑对心衰患者心血管死亡率及心衰住院率并无改善

 

  PARADIGM HF研究结果(NEJM2014)

  我认为,如何在“最佳时间”将“最佳治疗”给予“最适合的患者”,将是未来心衰治疗领域最大的研究命题。因为目前很多治疗都是在亡羊补牢,有些卓有成效的治疗仅在终末期才被当成最后的救命稻草选用,这一切都是不合理的。但即便如此,医学理念的更新也不可能一蹴而就,循证医学的本质是摸着石头过河,而非拔苗助长。螺旋式上升,波浪式前进,才是医学本来的面目。

  孔较瘦有话说(小结)

  • 强心-利尿-扩血管系针对心脏血流动力学进行的姑息治疗,短期可缓解症状,但对远期预后没有益处。
  • RAAS和交感神经阻断剂仍然是慢性心衰的基石。
  • 否定强心-利尿-扩血管是否定其远期疗效,肯定RAAS及交感神经阻断剂也并非将所有神经内分泌抑制剂照单全收。
  • 如何在“最佳时间”将“最佳治疗”给予“最适合的患者”,将是未来心衰治疗领域最大的研究命题。

 

文章来源:   作者:
分享到: 0
相关新闻
联系我们

信箱Mail :dmhlj@sohu.com

违法和不良信息举报邮箱 :dmhlj@sohu.com

关于我们

黑ICP备15006614号-1 哈公网安备23010002004434号

增值电信业务经营者证件号 : 黑B2-20160070

黑新网备 许可证编号:2332015001

关注我们
  • 最美龙江微信号